1.古代典籍中记述的酿酒方法与近代酿酒法相似。以下说法错误的是( )
A. 在实验室可以用溴水鉴别乙醇和乙酸
B. 乙醇是很好的溶剂,故可以用乙醇来提取某些中药中的有效成分
C. 用谷物还可以酿醋,醋酸是酿造得到的酒精在醋酸菌的作用下,被空气氧化而成的
D. $ 6.0\mathrm{g} $ 乙酸与足量钠完全反应,得到 $ {\rm 1.12\mathrm{L}} $ 氢气(标准状况)
乙醇和乙酸均不能与溴水反应,且均可与溴水互溶,溶液均不分层,现象相同,无法用溴水鉴别乙酸和乙醇, $ {\rm \mathrm{A}} $ 错误;乙醇是很好的溶剂,故可以用乙醇来提取某些中药中的有效成分, $ {\rm \mathrm{B}} $ 正确;醋酸是酿造得到的酒精在醋酸菌的作用下,被空气氧化而成的, $ {\rm \mathrm{C}} $ 正确; $ 6.0\mathrm{g} $ 乙酸的物质的量 $ {\rm n({\mathrm{C}\mathrm{H}}_{3}\mathrm{C}\mathrm{O}\mathrm{O}\mathrm{H})=\dfrac{m({\mathrm{C}\mathrm{H}}_{3}\mathrm{C}\mathrm{O}\mathrm{O}\mathrm{H})}{M({\mathrm{C}\mathrm{H}}_{3}\mathrm{C}\mathrm{O}\mathrm{O}\mathrm{H})}=\dfrac{6.0\mathrm{g}}{60\mathrm{g}\cdot {\mathrm{m}\mathrm{o}\mathrm{l}}^{-1}}=0.1\mathrm{m}\mathrm{o}\mathrm{l}} $ ,与足量钠完全反应,得到氢气的物质的量为 $ 0.05\mathrm{m}\mathrm{o}\mathrm{l} $ ,所以标准状况下 $ {\rm {\mathrm{H}}_{2}} $ 的体积为 $ {\rm 1.12\mathrm{L}} $ , $ {\rm \mathrm{D}} $ 正确。
2.下列关于乙酸的说法中,正确的有( )
①乙酸分子里有四个氢原子,所以它不是一元酸
②除去乙酸乙酯中残留的乙酸,有效方法是用过量饱和碳酸钠溶液洗涤后分液
$ ③1\mathrm{m}\mathrm{o}\mathrm{l} $ 乙酸与足量乙醇在浓硫酸作用下加热,可生成 $ 88\mathrm{g} $ 乙酸乙酯
④乙酸是一种重要的有机酸,常温下乙酸是有刺激性气味的液体
⑤乙酸能够与金属钠反应产生氢气
⑥乙酸的酸性比碳酸弱
⑦食醋中含有乙酸,乙酸可由乙醇氧化得到
⑧乙酸易溶于水和乙醇,其水溶液能导电
A. 3个
B. 6个
C. 4个
D. 5个
乙酸的结构简式为 $ {\rm {\mathrm{C}\mathrm{H}}_{3}\mathrm{C}\mathrm{O}\mathrm{O}\mathrm{H}} $ ,乙酸分子中有四个氢原子,但乙酸只能电离出一个氢离子,因此乙酸属于一元酸,①错误;乙酸乙酯是不溶于水的油状液体,密度小于水,除去乙酸乙酯中混有的乙酸,常用饱和碳酸钠溶液,碳酸钠能与乙酸反应,同时降低乙酸乙酯在溶液中的溶解度,然后采用分液的方法进行分离,②正确;乙酸与乙醇发生酯化反应,该反应为可逆反应,不能进行到底,因此 $ 1\mathrm{m}\mathrm{o}\mathrm{l} $ 乙酸与足量的乙醇反应,生成的乙酸乙酯质量小于 $ 88\mathrm{g} $ ,③错误;乙酸是一种有机酸,常温下乙酸是具有强烈刺激性气味的无色液体,④正确;乙酸能与金属钠反应生成乙酸钠和氢气,⑤正确;乙酸的酸性强于碳酸,⑥错误;食醋中含有乙酸,乙酸可以由乙醇经过氧化得到,⑦正确;乙酸易溶于水和乙醇,乙酸属于电解质,其水溶液能导电,⑧正确。综上所述,②④⑤⑦⑧正确,选 $ {\rm \mathrm{D}} $ 。
3.乙酸分子的结构式如图所示,下列关于断键位置叙述正确的是( )

①乙酸在水溶液中电离时,断裂 $ \mathrm{a} $ 键
②乙酸与乙醇发生酯化反应时,断裂 $ \mathrm{b} $ 键
③在红磷存在时, $ {\rm {\mathrm{B}\mathrm{r}}_{2}} $ 与 $ {\rm {\mathrm{C}\mathrm{H}}_{3}\mathrm{C}\mathrm{O}\mathrm{O}\mathrm{H}} $ 反应的化学方程式为 $ {\rm {\mathrm{C}\mathrm{H}}_{3}\mathrm{C}\mathrm{O}\mathrm{O}\mathrm{H}+{\mathrm{B}\mathrm{r}}_{2}{\xrightarrow[ ~]{红磷}}{\mathrm{C}\mathrm{H}}_{2}\mathrm{B}\mathrm{r}—\mathrm{C}\mathrm{O}\mathrm{O}\mathrm{H}+\mathrm{H}\mathrm{B}\mathrm{r}} $ ,乙酸在该反应中断裂 $ \mathrm{c} $ 键
④一定条件下, $ 2\mathrm{m}\mathrm{o}\mathrm{l} $ 乙酸分子生成 $ 1\mathrm{m}\mathrm{o}\mathrm{l} $ 乙酸酐的方程式可表示为 $ {\rm 2{\mathrm{C}\mathrm{H}}_{3}\mathrm{C}\mathrm{O}\mathrm{O}\mathrm{H}{\xrightarrow[ ~]{一定条件}}\mathrm{C}{\mathrm{C}\mathrm{H}}_{3}\mathrm{O}\mathrm{O}\mathrm{C}{\mathrm{O}\mathrm{C}\mathrm{H}}_{3}+{\mathrm{H}}_{2}\mathrm{O}} $ ,乙酸在该反应中分别断裂 $ \mathrm{a} $ 、 $ \mathrm{b} $ 键
A. ①②③
B. ①③④
C. ②③④
D. ①②③④
乙酸在水溶液中电离时,产生 $ {\rm {\mathrm{C}\mathrm{H}}_{3}{\mathrm{C}\mathrm{O}\mathrm{O}}^{-}} $ 和 $ {\rm {\mathrm{H}}^{+}} $ ,断裂 $ \mathrm{a} $ 键,①正确;乙酸与乙醇发生酯化反应时,遵循“酸脱羟基醇脱氢”的原则,乙酸断裂 $ \mathrm{b} $ 键,②正确;对比 $ {\rm {\mathrm{C}\mathrm{H}}_{3}\mathrm{C}\mathrm{O}\mathrm{O}\mathrm{H}} $ 和 $ {\rm {\mathrm{C}\mathrm{H}}_{2}\mathrm{B}\mathrm{r}—\mathrm{C}\mathrm{O}\mathrm{O}\mathrm{H}} $ 可知,乙酸在题给反应中断裂 $ \mathrm{c} $ 键,③正确;对比 $ {\rm {\mathrm{C}\mathrm{H}}_{3}\mathrm{C}\mathrm{O}\mathrm{O}\mathrm{H}} $ 和
可知,在题给反应中一分子乙酸断裂 $ \mathrm{a} $ 键,一分子乙酸断裂 $ \mathrm{b} $ 键,④正确。选 $ {\rm \mathrm{D}} $ 。
4.下列关于酯化反应叙述不正确的是( )
A. 浓硫酸在酯化反应中只起催化剂的作用
B. 酯化反应是有限度的
C. 酯化反应的机理是酸脱去羟基,醇脱去羟基上的氢原子
D. 酯化反应属于取代反应
浓硫酸在酯化反应中作催化剂和吸水剂, $ {\rm \mathrm{A}} $ 错误;酯化反应属于可逆反应,是有限度的, $ {\rm \mathrm{B}} $ 正确;酯化反应的机理是酸脱去羟基,醇脱去羟基上的氢原子, $ {\rm \mathrm{C}} $ 正确;酯化反应属于取代反应, $ {\rm \mathrm{D}} $ 正确。
5.下列制取乙酸乙酯的实验原理与装置能达到实验目的的是( )

![]()


A. 装置甲:制备乙酸乙酯
B. 装置乙:收集乙酸乙酯并除去其中的乙醇和乙酸
C. 装置丙:分离有机层和水层
D. 装置丁:蒸馏得到乙酸乙酯
乙醇、冰醋酸在浓硫酸催化作用下加热才会反应生成乙酸乙酯,且实验时应加入少量碎瓷片防止暴沸, $ {\rm \mathrm{A}} $ 错误;乙酸乙酯在氢氧化钠溶液中会发生水解,应用饱和碳酸钠溶液,且未防止倒吸,应将导管口置于液面上方, $ {\rm \mathrm{B}} $ 错误;乙酸乙酯密度比水小,难溶于水,有机层在上层,可以用分液的方法分离有机层和水层, $ {\rm \mathrm{C}} $ 正确;冷凝水应下进上出,使冷凝更充分,且温度计水银球应与蒸馏烧瓶支管口下沿处齐平, $ {\rm \mathrm{D}} $ 错误。
6.“酒是陈的香”是因为酒在储存过程中生成了有香味的乙酸乙酯,在实验室中我们也可以用图示装置制取乙酸乙酯。请回答下列问题:

(1) 该反应的化学方程式是 。
(2) 浓硫酸的作用是 , 。
(3) 试管 $ \mathrm{a} $ 中需要加入浓硫酸、乙酸各 $ {\rm 2\mathrm{m}\mathrm{L}} $ ,乙醇 $ {\rm 3\mathrm{m}\mathrm{L}} $ ,正确的加入顺序为 (填序号)。
A.浓硫酸、乙醇、乙酸
B.浓硫酸、乙酸、乙醇
C.乙醇、浓硫酸、乙酸
(4) 为了防止试管 $ \mathrm{a} $ 中的液体在实验时发生暴沸,在加热试管前应采取的措施是 。
(5) 试管 $ \mathrm{b} $ 中盛有饱和的碳酸钠溶液,其作用是 。
(6) 若要把制得的乙酸乙酯分离出来,应采用的实验操作是 。
(1) $ {\rm {\mathrm{C}\mathrm{H}}_{3}\mathrm{C}\mathrm{O}\mathrm{O}\mathrm{H}+{\mathrm{C}\mathrm{H}}_{3}{\mathrm{C}\mathrm{H}}_{2}\mathrm{O}\mathrm{H}\stackrel{浓硫酸}{\underset{△}{⇌}}{\mathrm{C}\mathrm{H}}_{3}{\mathrm{C}\mathrm{O}\mathrm{O}\mathrm{C}\mathrm{H}}_{2}{\mathrm{C}\mathrm{H}}_{3}+{\mathrm{H}}_{2}\mathrm{O}} $
(2) 作催化剂;作吸水剂
(3) C
(4) 加入沸石或碎瓷片
(5) ①溶解挥发出来的乙醇;②吸收挥发出来的乙酸;③减少乙酸乙酯的溶解,便于分离和收集乙酸乙酯
(6) 分液
(1) 乙酸和乙醇在浓硫酸和加热条件下发生酯化反应生成乙酸乙酯和水,该反应的化学方程式是 $ {\rm {\mathrm{C}\mathrm{H}}_{3}\mathrm{C}\mathrm{O}\mathrm{O}\mathrm{H}+{\mathrm{C}\mathrm{H}}_{3}{\mathrm{C}\mathrm{H}}_{2}\mathrm{O}\mathrm{H}\stackrel{浓硫酸}{\underset{△}{⇌}}{\mathrm{C}\mathrm{H}}_{3}{\mathrm{C}\mathrm{O}\mathrm{O}\mathrm{C}\mathrm{H}}_{2}{\mathrm{C}\mathrm{H}}_{3}+{\mathrm{H}}_{2}\mathrm{O}} $ 。
(2) 乙酸、乙醇发生酯化反应需要浓硫酸作催化剂,酯化反应可逆,而浓硫酸具有吸水性,浓硫酸吸水有利于反应正向进行,即浓硫酸同时作催化剂和吸水剂。
(3) 浓硫酸密度大,稀释时放热,而乙醇、乙酸均易挥发,加入试剂的顺序是先加入乙醇,然后边摇动试管边慢慢加入浓硫酸,冷却至室温后再加入乙酸,选 $ {\rm \mathrm{C}} $ 。
(4) 为了防止试管 $ \mathrm{a} $ 中的液体在实验时发生暴沸,在加热试管前应加入沸石或碎瓷片。
(5) 试管 $ \mathrm{b} $ 中盛有饱和的碳酸钠溶液,其作用是①溶解挥发出来的乙醇;②吸收挥发出来的乙酸;③减少乙酸乙酯的溶解,便于分离和收集乙酸乙酯。
(6) 乙酸乙酯难溶于碳酸钠溶液,而乙醇、乙酸可溶于水或可以和碳酸钠反应,将试管中混合物静置后,会出现分层现象,故用分液的方法可分离出乙酸乙酯。
7.下列物质中官能团名称不正确的是( )
A. 乙烯(碳碳双键)
B. 乙醇(羟基)
C. 乙酸(羧基)
D. 乙酸乙酯(脂基)
乙烯的结构简式为 $ {\rm {\mathrm{C}\mathrm{H}}_{2}{\mathrm{C}\mathrm{H}}_{2}} $ ,官能团为碳碳双键, $ {\rm \mathrm{A}} $ 正确;乙醇的结构简式为 $ {\rm {\mathrm{C}\mathrm{H}}_{3}{\mathrm{C}\mathrm{H}}_{2}\mathrm{O}\mathrm{H}} $ ,官能团为羟基, $ {\rm \mathrm{B}} $ 正确;乙酸的结构简式为 $ {\rm {\mathrm{C}\mathrm{H}}_{3}\mathrm{C}\mathrm{O}\mathrm{O}\mathrm{H}} $ ,官能团为羧基, $ {\rm \mathrm{C}} $ 正确;乙酸乙酯的结构简式为 $ {\rm {\mathrm{C}\mathrm{H}}_{3}{\mathrm{C}\mathrm{O}\mathrm{O}\mathrm{C}\mathrm{H}}_{2}{\mathrm{C}\mathrm{H}}_{3}} $ ,官能团为酯基, $ {\rm \mathrm{D}} $ 错误。
8.下列物质所属的类别及其所含官能团的对应关系不正确的是( )
选项 | 物质 | 类别 | 官能团 |
A | $ {\rm {\mathrm{C}\mathrm{H}}_{3}\mathrm{C}\mathrm{H}\xlongequal{}{\mathrm{C}\mathrm{H}}_{2}} $ | 烯烃 |
|
B | $ {\rm {\mathrm{C}\mathrm{H}}_{3}{\mathrm{C}\mathrm{H}\mathrm{C}\mathrm{H}}_{3}\mathrm{C}\mathrm{O}\mathrm{O}\mathrm{H}} $ | 羧酸 | $ {\rm —\mathrm{C}\mathrm{O}\mathrm{O}\mathrm{H}} $ |
C |
| 羧酸 | $ {\rm —\mathrm{C}\mathrm{O}\mathrm{O}\mathrm{H}} $ |
D | $ {\rm \mathrm{R}—\mathrm{O}\mathrm{H}(\mathrm{R}} $ 为链烃基 $ ) $ | 醇 | $ {\rm —\mathrm{O}\mathrm{H}} $ |
C
题给物质为丙烯,属于烯烃,烯烃的官能团为碳碳双键,结构简式为
, $ {\rm \mathrm{A}} $ 正确;题给物质为 $ 2- $ 甲基丙酸,属于羧酸,羧酸的官能团为羧基,结构简式为 $ {\rm —\mathrm{C}\mathrm{O}\mathrm{O}\mathrm{H}} $ , $ {\rm \mathrm{B}} $ 正确;
为甲酸与苯甲醇生成的酯,酯类的官能团为 $ {\rm —\mathrm{C}\mathrm{O}\mathrm{O}\mathrm{R}} $ , $ {\rm \mathrm{C}} $ 错误; $ {\rm —\mathrm{O}\mathrm{H}} $ 与链烃基相连为醇,官能团为 $ {\rm —\mathrm{O}\mathrm{H}} $ , $ {\rm \mathrm{D}} $ 正确。
9.维生素C又称 $ {\rm \mathrm{L}-} $ 抗坏血酸,为强还原剂,参与体内氧化还原作用。能促进细胞间黏合物和血红蛋白的合成,促进伤口愈合和预防坏血症。其结构简式如图所示,下列说法错误的是( )

A. 分子式为 $ {\rm {\mathrm{C}}_{6}{\mathrm{H}}_{8}{\mathrm{O}}_{6}} $
B. 维生素C具有酸性是由于其含有羧基
C. 加热容易破坏维生素C的结构
D. $ 1\mathrm{m}\mathrm{o}\mathrm{l} $ 维生素C与足量钠反应生成 $ {\rm 2\mathrm{m}\mathrm{o}\mathrm{l}{\mathrm{H}}_{2}} $
由其结构简式可知,一分子维生素 $ {\rm \mathrm{C}} $ 中含6个 $ {\rm \mathrm{C}} $ 、8个 $ {\rm \mathrm{H}} $ 、6个 $ {\rm \mathrm{O}} $ ,它的分子式为 $ {\rm {\mathrm{C}}_{6}{\mathrm{H}}_{8}{\mathrm{O}}_{6}} $ , $ {\rm \mathrm{A}} $ 正确;维生素 $ {\rm \mathrm{C}} $ 中含有羟基、酯基、碳碳双键三种官能团,不含羧基,但其结构中有烯二醇结构,使得与双键碳相连的羟基上的 $ {\rm \mathrm{H}} $ 能够部分电离出氢离子,从而表现出酸性, $ {\rm \mathrm{B}} $ 错误;维生素 $ {\rm \mathrm{C}} $ 中含有多个不稳定的化学键,其中的烯二醇结构在加热条件下很容易被氧化,导致维生素 $ {\rm \mathrm{C}} $ 结构被破坏, $ {\rm \mathrm{C}} $ 正确; $ 1\mathrm{m}\mathrm{o}\mathrm{l} $ 羟基能与 $ {\rm 1\mathrm{m}\mathrm{o}\mathrm{l}\mathrm{N}\mathrm{a}} $ 反应生成 $ {\rm 0.5\mathrm{m}\mathrm{o}\mathrm{l}{\mathrm{H}}_{2}} $ , $ 1\mathrm{m}\mathrm{o}\mathrm{l} $ 维生素 $ {\rm \mathrm{C}} $ 中含 $ 4\mathrm{m}\mathrm{o}\mathrm{l} $ 羟基,与足量钠反应可生成 $ {\rm 2\mathrm{m}\mathrm{o}\mathrm{l}{\mathrm{H}}_{2}} $ , $ {\rm \mathrm{D}} $ 正确。
10.一种常用的食品防腐剂,其结构简式如图所示,下列有关叙述错误的是( )

A. 既能发生取代反应,又能发生加成反应
B. 分子中所有碳原子可能在同一平面上
C. 与
互为同分异构体
D. $ 1\mathrm{m}\mathrm{o}\mathrm{l} $ 该物质与足量 $ {\rm \mathrm{N}\mathrm{a}} $ 反应生成 $ {\rm 3\mathrm{g}{\mathrm{H}}_{2}} $
题给结构中的羧基和羟基能发生取代反应,碳碳双键能发生加成反应, $ {\rm \mathrm{A}} $ 正确;该分子中连接两个羧基的碳原子同时与3个碳原子相连,所以该分子中所有碳原子不能共平面, $ {\rm \mathrm{B}} $ 错误;题给结构和
的分子式相同,结构不同,互为同分异构体, $ {\rm \mathrm{C}} $ 正确; $ {\rm —\mathrm{C}\mathrm{O}\mathrm{O}\mathrm{H}} $ 、 $ {\rm —\mathrm{O}\mathrm{H}} $ 都能和 $ {\rm \mathrm{N}\mathrm{a}} $ 反应生成氢气,且存在关系式: $ {\rm 2—\mathrm{C}\mathrm{O}\mathrm{O}\mathrm{H}\sim 2\mathrm{N}\mathrm{a}\sim {\mathrm{H}}_{2}} $ 、 $ {\rm 2—\mathrm{O}\mathrm{H}\sim 2\mathrm{N}\mathrm{a}\sim {\mathrm{H}}_{2}} $ ,则 $ 1\mathrm{m}\mathrm{o}\mathrm{l} $ 该有机物与足量 $ {\rm \mathrm{N}\mathrm{a}} $ 反应生成 $ 1.5\mathrm{m}\mathrm{o}\mathrm{l} $ 氢气,生成氢气的质量 $ =1.5\mathrm{m}\mathrm{o}\mathrm{l}×2\mathrm{g}\cdot {\mathrm{m}\mathrm{o}\mathrm{l}}^{-1}=3\mathrm{g} $ , $ {\rm \mathrm{D}} $ 正确。
11. 11.桔霉素是一种真菌毒素,主要存在于储存的谷物中,其结构简式如图所示。已知
表示丙烯,下列有关桔霉素的说法正确的是( )

A. 分子式为 $ {\rm {\mathrm{C}}_{13}{\mathrm{H}}_{12}{\mathrm{O}}_{5}} $
B. 不能与碳酸氢钠溶液反应
C. 分子中所有碳原子可能共平面
D. 能使酸性 $ {\rm {\mathrm{K}\mathrm{M}\mathrm{n}\mathrm{O}}_{4}} $ 溶液褪色
由题图可知,分子式为 $ {\rm {\mathrm{C}}_{13}{\mathrm{H}}_{14}{\mathrm{O}}_{5}} $ , $ {\rm \mathrm{A}} $ 错误;该物质中含羧基,能与碳酸氢钠溶液反应, $ {\rm \mathrm{B}} $ 错误;如图所示:
,1号碳原子同时与3个碳原子相连,则分子中所有碳原子不可能共平面, $ {\rm \mathrm{C}} $ 错误;该分子中含碳碳双键和羟基,能使酸性 $ {\rm {\mathrm{K}\mathrm{M}\mathrm{n}\mathrm{O}}_{4}} $ 溶液褪色, $ {\rm \mathrm{D}} $ 正确。
12.羟基是重要的官能团,某化学小组以①碳酸、②乙醇、③乙酸3种物质的溶液作为研究对象,比较不同物质的羟基中氢原子的活泼性。甲同学设计并实施了如下实验方案:
序号 | 实验操作 | 实验现象 | 结论及解释 |
1 | 分别取3种溶液,滴加紫色石蕊试液 | ①③溶液变红 | ①③溶液显酸性 |
2 | 向含酚酞的 $ {\rm \mathrm{N}\mathrm{a}\mathrm{O}\mathrm{H}} $ 溶液中,各滴加等量的②③两种溶液 | ②中无明显现象,③中红色明显变浅 | 滴加③溶液时发生反应的化学方程式: |
3 | 将③溶液加入 $ {\rm {\mathrm{N}\mathrm{a}}_{2}{\mathrm{C}\mathrm{O}}_{3}} $ 溶液中 | 有无色气泡冒出 | 发生反应的化学方程式: |
结论:3种物质羟基中氢原子的活泼性由强到弱的顺序为 (填序号) | |||
$ {\rm \mathrm{N}\mathrm{a}\mathrm{O}\mathrm{H}+{\mathrm{C}\mathrm{H}}_{3}\mathrm{C}\mathrm{O}\mathrm{O}\mathrm{H}\xlongequal{}{\mathrm{C}\mathrm{H}}_{3}\mathrm{C}\mathrm{O}\mathrm{O}\mathrm{N}\mathrm{a}+{\mathrm{H}}_{2}\mathrm{O}} $ ; $ {\rm 2{\mathrm{C}\mathrm{H}}_{3}\mathrm{C}\mathrm{O}\mathrm{O}\mathrm{H}+{\mathrm{N}\mathrm{a}}_{2}{\mathrm{C}\mathrm{O}}_{3}\xlongequal{}2{\mathrm{C}\mathrm{H}}_{3}\mathrm{C}\mathrm{O}\mathrm{O}\mathrm{N}\mathrm{a}+{\mathrm{H}}_{2}\mathrm{O}+{\mathrm{C}\mathrm{O}}_{2}↑} $ ; $ ③ > ① > ② $
分别取3种溶液,滴加紫色石蕊试液,溶液变红的是碳酸和乙酸的溶液,说明碳酸和乙酸的溶液显酸性;向含酚酞的 $ {\rm \mathrm{N}\mathrm{a}\mathrm{O}\mathrm{H}} $ 溶液中,各滴加等量的乙醇和乙酸溶液,乙醇与氢氧化钠不反应,所以②中无明显现象,乙酸会与氢氧化钠反应,所以③中溶液的红色明显变浅;将 $ {\rm {\mathrm{C}\mathrm{H}}_{3}\mathrm{C}\mathrm{O}\mathrm{O}\mathrm{H}} $ 溶液加入 $ {\rm {\mathrm{N}\mathrm{a}}_{2}{\mathrm{C}\mathrm{O}}_{3}} $ 溶液中,有无色气泡冒出,说明乙酸的酸性强于碳酸的酸性,因此3种物质羟基中氢原子的活泼性:乙酸 $ > $ 碳酸 $ > $ 乙醇。
1.下列物质的类别与所含官能团都错误的是( )
A.
酯 $ {\rm —\mathrm{O}\mathrm{H}} $
B.
醇类 $ {\rm —\mathrm{C}\mathrm{O}\mathrm{O}\mathrm{H}} $
C.
醛类 $ {\rm —\mathrm{C}\mathrm{H}\mathrm{O}} $
D. $ {\rm {\mathrm{C}\mathrm{H}}_{3}—\mathrm{O}—{\mathrm{C}\mathrm{H}}_{3}} $ 醚类
含有的官能团为酯基(
),属于酯类, $ {\rm \mathrm{A}} $ 不符合题意;
含有的官能团是羟基 $ {\rm (—\mathrm{O}\mathrm{H})} $ ,且羟基连在侧链上,属于醇类, $ {\rm \mathrm{B}} $ 不符合题意;
含有的官能团是酯基(
),属于酯类,有机化合物的类别和官能团的判断都是错误的, $ {\rm \mathrm{C}} $ 符合题意; $ {\rm {\mathrm{C}\mathrm{H}}_{3}—\mathrm{O}—{\mathrm{C}\mathrm{H}}_{3}} $ 含有的官能团为醚键(
),属于醚类, $ {\rm \mathrm{D}} $ 不符合题意。
2. 2.有机物的结构可用键线式表示,如 $ {\rm {\mathrm{C}\mathrm{H}}_{3}\mathrm{C}\mathrm{H}\xlongequal{}{\mathrm{C}\mathrm{H}\mathrm{C}\mathrm{H}}_{3}} $ 可写成
。薰衣草香气中含有的有机物 $ \mathrm{a} $ 和有机物 $ \mathrm{b} $ 的键线式如图所示,下列说法正确的是( )


A. 有机物 $ \mathrm{a} $ 的分子式为 $ {\rm {\mathrm{C}}_{12}{\mathrm{H}}_{22}{\mathrm{O}}_{3}} $
B. 有机物 $ \mathrm{a} $ 和 $ \mathrm{b} $ 中的官能团种类不同
C. 有机物 $ \mathrm{a} $ 和 $ \mathrm{b} $ 都能在碱性条件下发生水解反应
D. $ 1\mathrm{m}\mathrm{o}\mathrm{l} $ 有机物 $ \mathrm{b} $ 最多能与 $ {\rm 3\mathrm{m}\mathrm{o}\mathrm{l}{\mathrm{B}\mathrm{r}}_{2}} $ 发生加成反应
根据 $ \mathrm{a} $ 的键线式可知, $ \mathrm{a} $ 的分子式为 $ {\rm {\mathrm{C}}_{12}{\mathrm{H}}_{20}{\mathrm{O}}_{3}} $ , $ {\rm \mathrm{A}} $ 错误;有机物 $ \mathrm{a} $ 和 $ \mathrm{b} $ 中的官能团均为羟基、酯基、碳碳双键,官能团种类相同, $ {\rm \mathrm{B}} $ 错误;有机物 $ \mathrm{a} $ 和 $ \mathrm{b} $ 均含酯基,都能在碱性条件下发生水解反应, $ {\rm \mathrm{C}} $ 正确; $ 1\mathrm{m}\mathrm{o}\mathrm{l} $ 有机物 $ \mathrm{b} $ 含 $ 2\mathrm{m}\mathrm{o}\mathrm{l} $ 碳碳双键,最多能与 $ {\rm 2\mathrm{m}\mathrm{o}\mathrm{l}{\mathrm{B}\mathrm{r}}_{2}} $ 发生加成反应, $ {\rm \mathrm{D}} $ 错误。
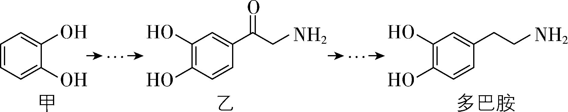
3.多巴胺是一种神经传导物质,其部分合成路线如下,下列说法正确的是( )

A. 甲中苯环上的溴代物有2种
B. 乙与 $ {\rm {\mathrm{H}}_{2}} $ 发生加成反应的生成物是环烷烃
C. 甲、乙、多巴胺3种物质均属于芳香烃
D. 多巴胺分子中所有碳原子可能处在同一平面
甲的结构含酚羟基,酚羟基邻位或对位 $ {\rm \mathrm{H}} $ 原子可被 $ {\rm —\mathrm{B}\mathrm{r}} $ 取代,其苯环上的一溴代物有2种,即
,但是还可能有二溴代物、三溴代物、四溴代物, $ {\rm \mathrm{A}} $ 错误;乙与 $ {\rm {\mathrm{H}}_{2}} $ 发生加成反应生成的产物中仍然含有 $ {\rm \mathrm{O}} $ 、 $ {\rm \mathrm{N}} $ 元素,不可能属于烃类, $ {\rm \mathrm{B}} $ 错误;甲、乙、多巴胺3种物质都含有氧元素,均不属于芳香烃, $ {\rm \mathrm{C}} $ 错误;苯环是平面结构,苯环及与苯环直接相连的碳原子共平面,由于单键可以旋转,则侧链上的另一个碳原子可能处于苯环所在平面,因此多巴胺分子中所有碳原子可能处在同一平面, $ {\rm \mathrm{D}} $ 正确。
4.下列两个反应得到的产物相同,对此下列叙述错误的是( )


A. 可用碳酸钠溶液鉴别甲、乙两物质
B. 丙分子中所有碳原子可能共平面
C. ②的反应类型为加成反应
D. 丁可与溴水反应生成 $ {\rm {\mathrm{C}\mathrm{H}}_{2}{\mathrm{B}\mathrm{r}\mathrm{C}\mathrm{H}\mathrm{B}\mathrm{r}\mathrm{C}\mathrm{H}}_{3}} $
甲的酸性比碳酸强,能与碳酸钠溶液反应生成 $ {\rm {\mathrm{C}\mathrm{O}}_{2}} $ 气体,乙呈中性,与碳酸钠溶液不反应, $ {\rm \mathrm{A}} $ 正确;丙分子 $ {\rm {\mathrm{C}\mathrm{H}}_{3}\mathrm{C}\mathrm{O}\mathrm{O}\mathrm{C}\mathrm{H}({\mathrm{C}\mathrm{H}}_{3})_{2}} $ 中与
中碳原子相连的两个碳原子、一个氢原子、一个氧原子形成四面体, $ {\rm {\mathrm{C}\mathrm{H}}_{3}\mathrm{C}\mathrm{O}\mathrm{O}—} $ 中两个碳原子和两个氧原子共面,故所有碳原子不共平面, $ {\rm \mathrm{B}} $ 错误;反应②中丁 $ {\rm ({\mathrm{C}\mathrm{H}}_{2}\xlongequal{}{\mathrm{C}\mathrm{H}\mathrm{C}\mathrm{H}}_{3})} $ 碳碳双键断开一个键,甲物质羧基上的氢接在 $ {\rm —{\mathrm{C}\mathrm{H}}_{2}—} $ 上, $ {\rm {\mathrm{C}\mathrm{H}}_{3}\mathrm{C}\mathrm{O}\mathrm{O}} $ 接在 $ {\rm —\mathrm{C}\mathrm{H}—} $ 上,反应类型为加成反应, $ {\rm \mathrm{C}} $ 正确;丁 $ {\rm ({\mathrm{C}\mathrm{H}}_{2}\xlongequal{}{\mathrm{C}\mathrm{H}\mathrm{C}\mathrm{H}}_{3})} $ 有碳碳双键,可以与溴水发生加成反应,双键断开一个键后,2个双键碳原子上各连接一个溴原子,生成 $ {\rm {\mathrm{C}\mathrm{H}}_{2}{\mathrm{B}\mathrm{r}\mathrm{C}\mathrm{H}\mathrm{B}\mathrm{r}\mathrm{C}\mathrm{H}}_{3}} $ , $ {\rm \mathrm{D}} $ 正确。
5.乙酸乙酯广泛用于药物、染料、香料等工业,某学习小组设计如图两套装置用乙醇、乙酸和浓硫酸分别制备乙酸乙酯(沸点 $ 77.2℃ $ )。下列说法不正确的是( )


A. 浓硫酸能加快酯化反应速率
B. 不断蒸出酯,会降低其产率
C. 装置 $ \mathrm{b} $ 比装置 $ \mathrm{a} $ 损失的原料少
D. 可用分液的方法分离出乙酸乙酯
乙酸与乙醇在浓硫酸作用下加热发生酯化反应,化学方程式为 $ {\rm {\mathrm{C}\mathrm{H}}_{3}\mathrm{C}\mathrm{O}\mathrm{O}\mathrm{H}+{\mathrm{C}\mathrm{H}}_{3}{\mathrm{C}\mathrm{H}}_{2}\mathrm{O}\mathrm{H}\stackrel{浓硫酸}{\underset{△}{⇌}}{\mathrm{C}\mathrm{H}}_{3}{\mathrm{C}\mathrm{O}\mathrm{O}\mathrm{C}\mathrm{H}}_{2}{\mathrm{C}\mathrm{H}}_{3}+{\mathrm{H}}_{2}\mathrm{O}} $ ,该反应为可逆反应,浓硫酸吸水利于平衡向生成乙酸乙酯的方向移动,故浓硫酸的作用为催化剂、吸水剂,浓硫酸能加快酯化反应速率, $ {\rm \mathrm{A}} $ 正确;不断蒸出酯,会减少生成物浓度,有利于平衡正向移动,会提高乙酸乙酯产率, $ {\rm \mathrm{B}} $ 错误;乙醇、乙酸易挥发,甲装置采取直接加热的方法,温度升高快,温度不易控制,装置 $ \mathrm{b} $ 采用水浴加热,反应容器受热均匀,比装置 $ \mathrm{a} $ 损失的原料少, $ {\rm \mathrm{C}} $ 正确;分离乙酸乙酯时先将盛有混合物的试管充分振荡,使挥发出来的乙酸充分转化为乙酸钠溶于水中,并溶解挥发出来的乙醇,静置分层后上层为乙酸乙酯,分液可分离出乙酸乙酯, $ {\rm \mathrm{D}} $ 正确。
6.乙酸异戊酯 $ {\rm [{\mathrm{C}\mathrm{H}}_{3}{\mathrm{C}\mathrm{O}\mathrm{O}\mathrm{C}\mathrm{H}}_{2}{\mathrm{C}\mathrm{H}}_{2}\mathrm{C}\mathrm{H} ({\mathrm{C}\mathrm{H}}_{3})_{2} ]} $ 是一种常用的食品添加剂。某实验小组利用如图装置制备乙酸异戊酯(加热及夹持装置略),相关数据如表。
物质 | 乙酸 | 异戊醇 | 乙酸异戊酯 | 环己烷 | 环己烷—水共沸物 | 浓硫酸 |
沸点/ $ ℃ $ | 118 | 131 | 142 | 81 | 69 | 338 |
投料 | $ 2.4\mathrm{m}\mathrm{o}\mathrm{l} $ | $ 2.0\mathrm{m}\mathrm{o}\mathrm{l} $ | — | $ 3.0\mathrm{m}\mathrm{o}\mathrm{l} $ | — | 10滴 |
已知:分水器可将有机物和水分离;环己烷—水共沸物可带出水分。下列说法错误的是( )

A. 反应混合液的加入顺序为异戊醇、乙酸、浓硫酸
B. 可控制反应温度为 $ 69\sim 81℃ $
C. 产物的提纯需经过水洗、碳酸钠溶液洗涤、水洗等
D. 若分出水的量为 $ {\rm 30.6\mathrm{m}\mathrm{L}} $ ,则可估算乙酸异戊酯的产率约为 $ 71\% $
浓硫酸的密度大于水,且其溶解时放出大量热,故浓硫酸和其他试剂混合时,应该把浓硫酸加入其他试剂中,故顺序是异戊醇、乙酸、浓硫酸, $ {\rm \mathrm{A}} $ 正确;环己烷—水共沸物的沸点为 $ 69℃ $ ,环己烷的沸点为 $ 81℃ $ ,为使环己烷—水共沸物带出水分,可控制反应温度为 $ 69\sim 81℃ $ , $ {\rm \mathrm{B}} $ 正确;产物的提纯需经过水洗除去硫酸和大部分乙酸、碳酸钠溶液洗涤除去乙酸、再次水洗除去碳酸钠等盐,后经干燥、蒸馏可得产物, $ {\rm \mathrm{C}} $ 正确;理论上 $ 2\mathrm{m}\mathrm{o}\mathrm{l} $ 异戊醇完全反应生成 $ 2\mathrm{m}\mathrm{o}\mathrm{l} $ 水,若分出水的量为 $ {\rm 30.6\mathrm{m}\mathrm{L}} $ ,则可估算乙酸异戊酯的产率约为 $ {\rm \dfrac{\dfrac{30.6\mathrm{m}\mathrm{L}×1\mathrm{g}\cdot {\mathrm{m}\mathrm{L}}^{-1}}{18\mathrm{g}\cdot {\mathrm{m}\mathrm{o}\mathrm{l}}^{-1}}}{2\mathrm{m}\mathrm{o}\mathrm{l}}×100\%=85\%} $ , $ {\rm \mathrm{D}} $ 错误。
7.已知有机物 $ {\rm \mathrm{A}\sim \mathrm{F}} $ 有以下转化关系。A是相对分子质量为28的气体烯烃,其产量是衡量一个国家石油化工生产水平的标志;D是食醋的主要成分; $ {\rm \mathrm{E}} $ 是不溶于水且具有香味的无色液体,相对分子质量是C的2倍; $ {\rm \mathrm{F}} $ 是一种高分子。结合如图关系回答问题:


(1) 写出B、D中官能团的名称。 $ {\rm \mathrm{B}:} $ 、 $ {\rm \mathrm{D}:} $ 。
(2) 写出与B互为同分异构体的物质的结构简式: 。
(3) 写出与D互为同系物的最简单的物质的结构式: 。
(4) 写出反应②的化学方程式: 。该反应类型是 。
(5) B、D在浓硫酸的作用下实现反应④,实验装置如图所示,试管1中装入药品后加热。 $ {\rm \mathrm{X}} $ 的化学式为 ,其作用是溶解乙醇和 。
(1) 羟基;羧基
(2) $ {\rm {\mathrm{C}\mathrm{H}}_{3}{\mathrm{O}\mathrm{C}\mathrm{H}}_{3}} $
(3) 
(4) $ {\rm 2{\mathrm{C}\mathrm{H}}_{3}{\mathrm{C}\mathrm{H}}_{2}\mathrm{O}\mathrm{H}+{\mathrm{O}}_{2}{\xrightarrow[ △]{\mathrm{C}\mathrm{u}}}2{\mathrm{C}\mathrm{H}}_{3}\mathrm{C}\mathrm{H}\mathrm{O}+2{\mathrm{H}}_{2}\mathrm{O}} $ ;氧化反应
(5) $ {\rm {\mathrm{N}\mathrm{a}}_{2}{\mathrm{C}\mathrm{O}}_{3}} $ ;吸收乙酸,降低乙酸乙酯的溶解度
(1) $ {\rm \mathrm{B}} $ 为 $ {\rm {\mathrm{C}\mathrm{H}}_{3}{\mathrm{C}\mathrm{H}}_{2}\mathrm{O}\mathrm{H}} $ ,其官能团为羟基; $ {\rm \mathrm{D}} $ 为 $ {\rm {\mathrm{C}\mathrm{H}}_{3}\mathrm{C}\mathrm{O}\mathrm{O}\mathrm{H}} $ ,其官能团为羧基。
(2) 与 $ {\rm \mathrm{B}} $ 互为同分异构体的物质为二甲醚,结构简式为 $ {\rm {\mathrm{C}\mathrm{H}}_{3}{\mathrm{O}\mathrm{C}\mathrm{H}}_{3}} $ 。
(3) 与 $ {\rm \mathrm{D}} $ 互为同系物的最简单的物质为甲酸,其结构式为
。
(4) 反应②为乙醇的催化氧化,化学方程式为 $ {\rm 2{\mathrm{C}\mathrm{H}}_{3}{\mathrm{C}\mathrm{H}}_{2}\mathrm{O}\mathrm{H}+{\mathrm{O}}_{2}{\xrightarrow[ △]{\mathrm{C}\mathrm{u}}}2{\mathrm{C}\mathrm{H}}_{3}\mathrm{C}\mathrm{H}\mathrm{O}+2{\mathrm{H}}_{2}\mathrm{O}} $ ,反应类型为氧化反应。
(5) 乙醇和乙酸的酯化反应中,乙酸、乙醇、乙酸乙酯均具有挥发性,实验时用饱和 $ {\rm {\mathrm{N}\mathrm{a}}_{2}{\mathrm{C}\mathrm{O}}_{3}} $ 溶液溶解乙醇,吸收乙酸,降低乙酸乙酯的溶解度,便于溶液分层。
8.某兴趣小组对课本实验装置进行改进,以期达到更好的效果。回答下列问题:
(1) 乙醇催化氧化

装置A锥形瓶中盛放的固体药品可能为 (填序号),装置B中试剂名称为 。
A. $ {\rm {\mathrm{N}\mathrm{a}}_{2}{\mathrm{O}}_{2}} $ B. $ {\rm {\mathrm{M}\mathrm{n}\mathrm{O}}_{2}} $ C. $ {\rm {\mathrm{N}\mathrm{a}}_{2}{\mathrm{C}\mathrm{O}}_{3}} $ D. $ {\rm \mathrm{K}\mathrm{C}\mathrm{l}} $
(2) 制备乙酸乙酯
实验步骤如下:
ⅰ.向B中加入 $ {\rm 5.7\mathrm{m}\mathrm{L}} $ 乙酸、 $ {\rm 8.7\mathrm{m}\mathrm{L}} $ 乙醇和几片碎瓷片,向A中加入 $ {\rm 5.0\mathrm{m}\mathrm{L}} $ 浓硫酸。
ⅱ.通入冷凝水,向B中滴加浓硫酸,水浴加热至不再有油状物质蒸出,停止加热。
ⅲ.冷却后,锥形瓶中液体先用饱和 $ {\rm {\mathrm{N}\mathrm{a}}_{2}{\mathrm{C}\mathrm{O}}_{3}} $ 溶液洗涤,分离出有机相。
ⅳ.向有机相加入无水 $ {\rm {\mathrm{C}\mathrm{a}\mathrm{C}\mathrm{l}}_{2}} $ ,过滤。
$ ⅴ $ .向滤液中加入无水 $ {\rm {\mathrm{M}\mathrm{g}\mathrm{S}\mathrm{O}}_{4}} $ ,蒸馏,收集 $ 77℃ $ 左右的馏分,得到 $ 6.60\mathrm{g} $ 无色油状物质,经检测,纯度为 $ 99.8\% $ 。

已知:①无水氯化钙可与乙醇形成难溶于水的 $ {\rm {\mathrm{C}\mathrm{a}\mathrm{C}\mathrm{l}}_{2}\cdot 6{\mathrm{C}}_{2}{\mathrm{H}}_{5}\mathrm{O}\mathrm{H}} $ 。
②有机物的相关数据如下:
试剂 | 乙醇 | 乙酸 | 乙酸乙酯 |
沸点/ $ ℃ $ | 78.5 | 118 | 77 |
密度/ $ (\mathrm{g}\cdot {\mathrm{c}\mathrm{m}}^{-3}) $ | 0.79 | 1.05 | 0.902 |
相对分子质量 | 46 | 60 | 88 |
请完成下列问题:
① 仪器B的名称为 ,冷凝水应从冷凝管的 (填“ $ \mathrm{a} $ ”或“ $ \mathrm{b} $ ”)口进入。
② 该实验采用水浴加热的优点是 。
③ 用饱和 $ {\rm {\mathrm{N}\mathrm{a}}_{2}{\mathrm{C}\mathrm{O}}_{3}} $ 溶液洗涤的目的是 ,向有机相加入无水 $ {\rm {\mathrm{C}\mathrm{a}\mathrm{C}\mathrm{l}}_{2}} $ 的主要目的是 。
④ 实验所得乙酸乙酯的产率为 (保留三位有效数字)。
(1) $ {\rm \mathrm{A}\mathrm{B}} $ ;浓硫酸
(2) ① 蒸馏烧瓶; $ \mathrm{b} $
② 受热均匀,便于控制温度;减少原料损失,提高酯的产量(合理即可)
③ 除去乙酸和部分乙醇;与乙醇形成难溶于水的 $ {\rm {\mathrm{C}\mathrm{a}\mathrm{C}\mathrm{l}}_{2}\cdot 6{\mathrm{C}}_{2}{\mathrm{H}}_{5}\mathrm{O}\mathrm{H}} $ ,从而进一步除去乙醇
④ $ 75.0\% $
(1) 根据分析可知,装置 $ {\rm \mathrm{A}} $ 用于产生氧气,可以用双氧水和二氧化锰,也可以用过氧化钠和水反应制备氧气,则固体药品可能为 $ {\rm \mathrm{A}\mathrm{B}} $ ;装置 $ {\rm \mathrm{B}} $ 用于吸收水蒸气,则装置 $ {\rm \mathrm{B}} $ 中试剂名称为浓硫酸。
(2) ① 仪器 $ {\rm \mathrm{B}} $ 的名称为蒸馏烧瓶;冷凝管中冷凝水应下进上出,即从 $ \mathrm{b} $ 口进入。
② 采用水浴加热的优点:受热均匀,便于控制温度;减少原料损失,提高酯的产量。
③ 根据分析可知,锥形瓶中液体先用饱和 $ {\rm {\mathrm{N}\mathrm{a}}_{2}{\mathrm{C}\mathrm{O}}_{3}} $ 溶液洗涤,除去乙酸和大部分乙醇;根据题意可知,无水氯化钙可与乙醇形成难溶于水的 $ {\rm {\mathrm{C}\mathrm{a}\mathrm{C}\mathrm{l}}_{2}\cdot 6{\mathrm{C}}_{2}{\mathrm{H}}_{5}\mathrm{O}\mathrm{H}} $ ,因此向有机相加入无水 $ {\rm {\mathrm{C}\mathrm{a}\mathrm{C}\mathrm{l}}_{2}} $ 的主要目的是进一步除去乙醇。
④ 乙酸与乙醇发生的反应为 $ {\rm {\mathrm{C}\mathrm{H}}_{3}\mathrm{C}\mathrm{O}\mathrm{O}\mathrm{H}+{\mathrm{C}}_{2}{\mathrm{H}}_{5}\mathrm{O}\mathrm{H}\stackrel{浓硫酸}{\underset{△}{⇌}}{\mathrm{C}\mathrm{H}}_{3}{\mathrm{C}\mathrm{O}\mathrm{O}\mathrm{C}}_{2}{\mathrm{H}}_{5}+{\mathrm{H}}_{2}\mathrm{O}} $ ,加入的乙酸的物质的量为 $ {\rm \dfrac{5.7\mathrm{m}\mathrm{L}×1.05\mathrm{g}\cdot {\mathrm{m}\mathrm{L}}^{-1}}{60\mathrm{g}\cdot {\mathrm{m}\mathrm{o}\mathrm{l}}^{-1}}=0.09975\mathrm{m}\mathrm{o}\mathrm{l}} $ ,加入的乙醇的物质的量为 $ {\rm \dfrac{8.7\mathrm{m}\mathrm{L}×0.79\mathrm{g}\cdot {\mathrm{m}\mathrm{L}}^{-1}}{46\mathrm{g}\cdot {\mathrm{m}\mathrm{o}\mathrm{l}}^{-1}}\approx 0.15\mathrm{m}\mathrm{o}\mathrm{l}} $ ,则理论上产生的乙酸乙酯的物质的量为 $ 0.09975\mathrm{m}\mathrm{o}\mathrm{l} $ ,实验所得乙酸乙酯的产率 $ =\dfrac{6.60\mathrm{g}×99.8{\%}}{0.09975\mathrm{m}\mathrm{o}\mathrm{l}×88\mathrm{g}\cdot {\mathrm{m}\mathrm{o}\mathrm{l}}^{-1}}×100\%\approx 75.0\% $ 。